服务热线
400-0689-033
2020-01-07 10:47:07
| 中文名称 | 英文名称 | CAS | 结构 | 分子式 |
| 阿比特龙相关化合物1(孕烯醇酮-16-烯乙酸酯) | Abiraterone Related Compound 1 (Pregnenolone-16-ene Acetate) | 979-02-2 | ![]() | C23H32O3 |
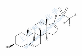
| 阿比特龙相关化合物2(三氟化丙甾酮) | Abiraterone Related Compound 2 (Prasterone Triflate) | 124643-35-2 | ![]() | C20H27F3O4S |
| 阿比特龙相关化合物3(孕烯醇酮-16-烯乙酸酯肟) | Abiraterone Related Compound 3 (Pregnenolone-16-ene Acetate Oxime) | 2174-13-2 | ![]() | C23H33NO3 |
| 阿比特龙相关化合物4(乙酸丙甾酮-三氟酸酯) | Abiraterone Related Compound 4 (Prasterone Acetate Triflate) | 115375-60-5 | ![]() | C22H29F3O5S |
| 阿比特龙相关化合物5(孕烯醇酮-16-烯乙酸酯21-三氟酸酯) | Abiraterone Related Compound 5 (Pregnenolone-16-ene Acetate 21-Triflate) | ![]() | C24H31F3O6S | |
| 阿比特龙二聚体杂质(prasteronylabirateron) | Abiraterone Dimer Impurity (Prasteronyl Abiraterone) | ![]() | C43H57NO2 | |
| 阿比特龙N-氧化物 | Abiraterone N-Oxide | ![]() | C24H31NO2 | |
| 阿比特龙-5,6-环氧化物 | Abiraterone-5,6-Epoxide | ![]() | C24H31NO2 | |
| 醋酸阿比特龙-5,6-环氧化物 | Abiraterone Acetate-5,6-Epoxide | ![]() | C26H33NO3 | |
| 醋酸阿比特龙非对映体 | Abiraterone Acetate Diastereomer | ![]() | C26H33NO2 | |
| 阿比特龙 | Abiraterone | 154229-19-3 | ![]() | C24H31NO |
| 无水阿比特龙 | Anhydro Abiraterone | 154229-20-6 | ![]() | C24H29N |
| 阿比特龙环氧化物杂质(α-环氧阿比特龙醋酸酯) | Abiraterone Epoxide Impurity (alpha-Epoxy Abiraterone Acetate) | ![]() | C26H33NO3 | |
| 7-酮阿比特龙醋酸酯 | 7-Keto Abiraterone Acetate | ![]() | C26H31NO3 | |
| 阿比特龙杂质13(3-脱氧-3-乙酰阿比特龙-3-烯) | Abiraterone Impurity 13 (3-Deoxy-3-Acetyl Abiraterone-3-Ene) | ![]() | C26H31NO | |
| O-氯丁基阿比特龙 | O-Chlorobutylabiraterone | ![]() | C28H38ClNO | |
| 阿比特龙乙醚 | Abiraterone Ethyl Ether | ![]() | C26H35NO | |
| 阿比特龙异丙醚 | Abiraterone Isopropyl Ether | ![]() | C27H37NO | |
| 3-脱氧3-氯阿比特龙 | 3-Deoxy 3-Chloro Abiraterone | ![]() | C24H30ClN | |
| 阿比特龙相关化合物6 | Abiraterone Related Compound 6 | ![]() | C43H57NO2 | |
| 阿比特龙相关化合物7 | Abiraterone Related Compound 7 | ![]() | C47H61NO4 | |
| 阿比特龙相关化合物9(5-α-17-(3-吡啶基)-16-雄烯-3-酮) | Abiraterone Related Compound 9 (5-alpha-17-(3-Pyridyl)-16-androstene-3-one) | 154229-26-2 | ![]() | C24H31NO |
| 阿比特龙相关化合物8 | Abiraterone Related Compound 8 | ![]() | C28H38ClNO | |
| 阿比特龙杂质1 | Abiraterone Impurity 1 | 853-23-6 | ![]() | C21H30O3 |
| 阿比特龙杂质2 | Abiraterone Impurity 2 | ![]() | C26H31NO | |
| 阿比特龙杂质3 | Abiraterone Impurity 3 | ![]() | C48H60N2O | |
| 阿比特龙杂质4 | Abiraterone Impurity 4 | 2118-32-3 | ![]() | C23H34O2 |
| 阿比特龙杂质5 | Abiraterone Impurity 5 | 32138-69-5 | ![]() | C19H27IO |
| 阿比特龙杂质6 | Abiraterone Impurity 6 | ![]() | C7H4F6N2 | |
| 硫酸阿比特龙钠盐 | Abiraterone Sulfate Sodium Salt | 1993430-25-3 | ![]() | C24H30NO4S. Na |
| 阿比特龙杂质7 | Abiraterone Impurity 7 | 89878-14-8 | ![]() | C9H14BN |
| 阿比特龙杂质8 | Abiraterone Impurity 8 | 53-43-0 | ![]() | C19H28O2 |
| 甲磺酸阿比特龙 | Abiraterone Mesylate | ![]() | C25H33NO3S | |
| 阿比特龙杂质9 | Abiraterone Impurity 9 | ![]() | C26H33NO2 | |
| 阿比特龙杂质10 | Abiraterone Impurity 10 | ![]() | C24H31NO | |
| 阿比特龙杂质11 | Abiraterone Impurity 11 | 165334-69-0 | ![]() | C26H33NO2 |
| 阿比特龙杂质12 | Abiraterone Impurity 12 | 165334-72-5 | ![]() | C24H31NO |
| 阿比特龙N-氧化物硫酸钠 | Abiraterone N-Oxide Sulfate Sodium Salt | 1993430-24-2 | ![]() | C24H30NO5S. Na |
| 阿比特龙-β-D-葡萄糖醛酸 | Abiraterone-beta-D-Glucuronide | ![]() | C30H39NO7 | |
| 醋酸阿比特龙 | Abiraterone Acetate | 154229-18-2 | ![]() | C26H33NO2 |